第一章 背景說明
一、緣起
根據環保署109年「三級防制區固定污染源控制技術管制計畫」,發現近年國內臭氧及PM2.5為造成空氣品質指標(Air Quality Index, AQI) 超標的主要原因之一。細究其成因,係因揮發性有機物(Volatile Organic Compounds, VOCs)為臭氧重要前驅物,而NOx占比隨PM2.5濃度升高而升高。
為降低國內環境中VOCs濃度,環保署陸續訂定9 項子法進行管制,詳細法規名稱及修正日期如表1-1 所示。
二、揮發性有機物處理技術
VOCs管末處理技術為污染防制工作上的重要環節。已商業化成熟及開發研究新穎處理技術中,主要分為濃縮、破壞及回收等處理技術。在破壞性處理技術中,著重使用高溫氧化(焚化)技術、生物處理技術與化學吸收洗滌技術;在回收性處理技術中,則有冷凝處理、吸附法、物理吸收洗滌或蒸氣平衡技術。以上處理技術各有適合處理風量及廢氣濃度範圍,可依適用特性加以選擇防制設備。
在選擇處理技術種類時,需要依照排放廢氣特性及污染氣體內部成分性質考量,如圖1-1、1-2所示,相關技術比較如表1-2所示。
三、VOCs常溫處理技術操作手冊大綱
前述技術各有其優缺點及應用領域,惟部分技術因應用領域窄且需良好準確的維護保養才能發揮效果,所以國內使用的業者較少,如生物處理法、化學吸收法等。而焚化法因有控制容易、破壞率高等優點,因此廣為業者使用。本計畫先說明現行主要處理技術,再說明常溫氧化技術及相關限制,最後規劃常溫處理設備操作建議報告。
為協助業者於製程中減少VOCs產生,並選擇適用之常溫處理設備,本報告先重點說明從製程減量及防制設備評估可行之VOCs減量方法及處理設備,接著比較不用設備之適用性與操作成本,最後以「活性碳流體化床吸脫附」設備為例,介紹其原理、操作方式,透過實廠試驗了解不同VOCs物種在活性碳流體化床之適用性,最後是日常操作應注意事項說明,以提供產業在面對全球化減碳議題時,除了焚化法以外的選擇。
表1-1 管制揮發性有機物之相關法規
| 序號 |
法規名稱 |
最後修正日期 |
| 1 |
乾洗作業空氣污染物防制設施管制標準 |
88.09.22 |
| 2 |
半導體製造業空氣污染物管制及排放標準 |
91.10.16 |
| 3 |
汽車製造業表面塗裝作業空氣污染物排放標準 |
94.12.16 |
| 4 |
光電材料及元件製造業空氣污染物管制及排放標準 |
95.01.05 |
| 5 |
膠帶製造業揮發性有機物空氣污染管制及排放標準 |
99.01.22 |
| 6 |
揮發性有機物空氣污染物管制及排放標準 |
102.01.03 |
| 7 |
聚氨基甲酸脂合成皮業揮發性有機物空氣污染管制及排放標準 |
104.03.23 |
| 8 |
聚乙烯及聚氯乙烯製造業空氣污染物管制及排放標準 |
108.01.22 |
| 9 |
建物及工業維護塗料揮發性有機物成分標準 |
108.08.13 |
圖1-1 VOCs防制技術選用參考
資料來源:張寶額,溶劑化學品使用對象,2019。
圖1-2 VOCs防制技術分類
表1-2 不同VOCs防制技術比較
| 處理方法 |
原理、機構 |
特 徵 |
備註 |
|
焚化技術
|
直接燃燒法 |
- 以可燃性氣體在 650~850℃ 下燃燒,成為無害無機物質
|
- 完全燃燒時可獲得高效率處理
- 適用於廣範圍的VOC物質
- 不完全燃燒時,反而造成廢氣及有害物質
- 若無法有效利用廢熱,會提高運轉成本
|
設備安全必須特別注意
需配合有效的熱回收裝置以減少能源浪費 |
| 觸媒氧化法 |
使用白金、鈷、銅、鎳等觸媒降低VOC分解溫度,可在400~500℃的範圍操作 |
- 操作溫度低,比直接燃燒法燃料耗用量少
- 操作溫度不可超過觸媒最高耐受溫度
|
排氣中含有其他重金屬或可能毒害觸媒物質,必須預先去除以免造成觸媒失活 |
| 生物技術 |
生物處理法 |
利用微生物使有機溶劑氧化分解 |
- 設備費用低廉
- 廢水處理後污泥可再利用
- 微生物培養耗時,要達到全量處理需一段時間且容易受溫度影響
|
- 此法對高溫氣體、氯化溶劑以及容易加水分解
- 含酸、鹼的溶劑不適用,因為會抑制微生物甚或造成其死亡
|
| 物理/化學吸收 |
化學吸收法 |
- 利用水、鹼性蘇打石灰水溶液,或稀酸溶解排氣中物質並吸收之
- 也可以使用油、界面活性劑
|
- 以水作為吸收劑為最經濟的方式
- 塗裝排氣有混合成分時,不易只用一液處理
- 後續廢水、廢液之處理須注意處理符合法規
|
水或水溶液有時對疏水性的甲苯、二甲苯無效 |
| 吸附 |
吸附法 |
以活性碳、沸石、矽膠、活性白土等來吸附溶劑類 |
- 選擇組合排氣中處理物質之吸附劑
- 吸附劑能力有限制,故須更換吸附劑,產生廢棄物待處理
- 受濃度、溫度、風量之左右
|
活性碳對甲苯、二甲苯之吸附性很好 |
| 冷凝 |
冷凝法 |
通過降低溫度或提高壓力使氣態的揮發性有機物轉為液態而分離出來。 |
- 廢氣濃度高且種類單純時,較易回收高純度之廢溶劑
- 冷凝設備後須再接其他處理設備(焚化、水洗或吸附),才能確保符合法規標準
|
- 須了解欲回收的溶劑特性及沸點,且廢氣種類需單純,才能有效回收廢溶劑。
- 冷凝設備需要消耗大量能源
|
| 其他技術 |
冷電漿破壞技術 |
利用電離子打破輝法性有機物的鍵結,降解為小分子或二氧化碳。 |
- 機器體積小,適用於低濃度、低風量的VOCs
- 新興技術,應用實績較少
|
因使用高壓電製造電離子,易產生火花,須注意是否有易起火的問題。 |
資料來源:經濟部工業局,塗裝業揮發性有機物廢氣減量評估指引,2001年。本計畫彙整
考量焚化法會產生多餘的碳排放,因此本報告進一步就6項常溫處理技術進行檢視,包含生物處理法、化學吸收法、UV光解、冷電漿破壞技術、流體化床吸/脫附法及冷凝法等,發現部分技術仍有適用條件受限、處理效果不佳等問題,且現階段技術並無太大改善,故不適合撰寫操作建議報告及推廣,詳細比較如表2-2 所示。但流體化床吸/脫附法已有成熟的技術及實績,故本報告透過研究建立操作建議,並說明其維護保養重點及使用限制供業者參考。
表1-3 常見低溫VOCs處理技術比較
| 處理方法 |
使用限制 |
技術改善情形 |
推薦潛力 |
| 生物處理法 |
所需空間大
養菌不易,不易維持良好處理效率 |
目前已有1成功案例,但不同廢氣成分所需菌種不同,設備不易複製。 |
暫不推薦 |
| 化學吸收法 |
多數VOCs不易溶於水,處理效率不佳
廢水、廢液不易處理 |
使用限制多,業者也不易自行評估是否適合化學吸收法 |
不推薦 |
| UV光解 |
僅適用低風量、低濃度VOCs廢氣
易受干擾 |
使用限制多,去除率不佳
中國大陸部分省直接規定禁止使用相關設備做為唯一的空污防制設備 |
不推薦 |
| 冷電漿破壞技術 |
僅適用低風量、低濃度VOCs廢氣
有工安風險且易受干擾 |
使用限制多,去除率不佳
中國大陸部分省直接規定禁止使用相關設備做為唯一的空污防制設備 |
不推薦 |
| 吸/脫附法 |
活性碳易粉碎結塊,無法順利流體化 |
活性碳顆粒技術持續進步,目前已有多座實績 |
推薦,可進一步研究 |
| 冷凝法 |
冷凝設備維護成本高,回收價值低。
處理效率不佳 |
具節能減碳潛力
燃料費持續增加,回收後可作為替代燃料 |
推薦,可進一步研究 |
第二章 VOCs吸脫附種類介紹
一、吸附法原理
吸附技術係利用活性碳顆粒、碳纖維、沸石等多孔性結構的吸附劑來攔截VOCs,相關技術已廣泛應用於各種VOCs物質中。選擇適當吸附劑及良好時間設計,相互配合進行吸附操作,可達到高於95%去除效率。茲就活性碳及沸石轉輪兩種常見的吸附材料進行說明
(一)活性碳
活性炭的種類中,可分為粉末狀活性碳、粒狀活性碳及纖維狀活性碳等3類,而在氣體吸附之應用上則以粒狀活性碳及纖維狀活性碳較為常用,主要原因是粉末狀活性碳填充後壓損過大,其特性及優缺點比較如表2-1~2-2,相關操作條件如下:
表2-1. 活性碳的分類及性質
分類
性質 |
粒 狀 活 性 碳 |
活性碳纖維 |
| 破碎機 |
造粒碳 |
珠型碳 |
| 原料種類 |
果實類 |
木質類
石碳類 |
石油類 |
木質素、煤渣 |
| 形 狀 |
不規則 |
成型碳 |
珠狀 |
纖維 |
| 大 小 |
4~ 14mesh |
4~ 6mesh |
0.4 ~0.8mm |
10~ 20μmφ之纖維 |
| 平均孔徑 ( Å ) |
20~ 40 |
10~ 40 |
── |
15 |
| 填孔密度(g/cm3) |
0.4 ~0.6 |
0.35 ~0.6 |
0.5~ 0.6 |
0.04~ 0.05 |
| 外表面積(m2/g) |
0.001 |
0.2 ~0.7 |
| 比表面積(m2/g) |
900 ~1200 |
1000~ 1600 |
| pH |
偏鹼性 |
偏中性 |
| 脫附時間 |
30~ 60min |
5~ 10min |
表2-2. 粒狀活性碳與活性碳纖維優缺點比較
| 項目 |
粒狀活性碳 |
活性碳纖維 |
| 優點 |
- 價格便宜(約70~180元/kg)。
- 可充填於各式各樣的吸附槽。
- 有較好的吸附床利用率
- 對於極性較強的吸附質有較佳的吸 附效果。
|
- 纖維極細,比表面積大,吸附容量高。
- 表面平滑不易脆裂,損耗小。
- 不純物及重金屬含量極少。
- 脫附速度快,回收溶劑品質高,特別是應用於氯系溶劑。
- 操作簡單,設備體積小且易於安裝。
- 受溫度影響較小。
|
| 缺點 |
- 運送時易碎化,吸附、脫附氣體時會耗損 。
- 偏鹼性,脫附時易造成水解現象。
- 比表面積小,飽和吸附量較低。
|
- 價格昂貴。
- 結構較膨鬆,易生渠流效應,吸附床利用率較
- 低。
|
- 1.溫度
- 因吸附為放熱反應,故溫度愈低愈有利吸附作用。一般入口溫度宜控制於40℃以下。
- 2.濕度
- 相對濕度愈大,活性碳飽和吸附容量愈低,且吸附質濃度愈低或溶解度愈大者其受影響愈大,一般入口濕度宜控制於50%以下。
- 3.流量
- 流量增大會使貫穿時間縮短,但只要流速低於理論反應時間,則流量之增加對飽和吸附量之影響不大。
- 4.熱傳效果及爆炸下限
- 選擇吸附塔半徑及管壁厚度較小者,可增加散熱作用,提高吸附效果,但夏天氣溫較高時,亦可能造成活性炭塔溫度升高, 活性炭槽要在低溫情形下增加吸附效果外,由於 VOCs 都具可燃性,爆炸下限(LEL)約在1.0~2.0%左右,為了設計安全考量,進口氣體濃度不宜超過25%LEL爆炸下限,其混合後溶劑LEL可以下式計算。且因吸附會放熱,在太陽下溫度過高可能導致自燃情形,建議設在有遮蔭處避免太陽直射。
- 5.不適合活性炭吸附處理之VOCs
- 一般而言,具反應性或聚合性之化合物及高沸點物質(沸點大於200℃)較不適合使用活性碳吸附處理,若有此類物質不宜使用活性炭處理,不適合活性炭吸附處理之VOCs如表2-3所示。
表2-3 不適合活性碳吸附處理之VOCs
| 序號 |
反應性化合物 |
高沸點物質 |
| 1 |
有機酸 |
可塑劑 |
| 2 |
醛類 |
樹脂類 |
| 3 |
部分酮類 |
長鏈碳氫化合物 |
| 4 |
甲醇 |
酚類 |
| 5 |
|
二元醇 |
| 6 |
|
胺類 |
- 6.活性碳對各種有機物質之飽和吸附容量
- 一般以活性碳吸附設備操作可概分成四個階段,如圖3所示。起初吸附的效果良好,出口濃度C1、C2遠低於入口濃度C0,然而隨著已處理氣體體積之增加,直至一貫穿點時(出口濃度為C3一般設定為5%C0),活性碳即已達到飽和,此時應進行更換或再生吸附劑之程序。
- 以固定床式活性碳吸附塔之設計,一般依再生系統之有無而予以區分,若廢氣中VOCs濃度較高可回收,或吸附劑成本相對於再生成本很貴時,可選用再生式吸附床;倘若廢氣中VOCs濃度只有數ppm或其中參雜有害、毒性或臭味物質,其回收不具經濟效益時,可不設再生設備,而委託合法廠商再生或處理。但廢棄吸附劑之處置應符合法令規定,以避免造成環境之污染。
(二)微珠(球)狀活性碳特性
流體化床系統用以吸附之活性碳為微珠狀,其外觀如圖7.所示。不論其吸附性、耐磨耗性、流動性均較一般活性碳為佳,適合做為連續吸附、脫附之媒介,微珠狀活性碳之特性如表3.所示。
- * SEM:scanning electron microscope,掃瞄式電子顯微鏡。
- 資料來源:經濟部工業局,揮發性有機物廢氣減量及處理技術手冊。
圖7. 微珠狀活性碳之外觀及孔洞分析
表3. 微珠狀活性碳之特性
| 項目 |
特性 |
| 形狀 |
球 |
| 平均粒徑(mm) |
0.4 ~ 0.7 |
| 容積密度(g/ml) |
~ 0.6 |
| 硬度 |
>95% |
| 比表面積(m2/g) |
1,100 ~ 1,300 |
| 乾燥減量(wt %) |
5%以下 |
資料來源:吉能公司。
對於高風量、低濃度VOCs廢氣之處理,可採用轉輪吸附濃縮搭配焚化處理技術,一般濃縮轉輪之吸附劑最常採用疏水性沸石,其目的為將大流量、低濃度廢氣轉換成小流量、高濃度氣流,使後端焚化系統於之耗用燃料更為經濟。
活性碳吸附法在工業上常使用的型式,包括顆粒狀的固定床式、活性碳纖維的蜂巢式及珠狀碳的流動床式等,其相關特性比較如表1.所示。目前以固定床為工業界較多見使用,一般以顆粒狀活性碳較常應用為吸附材;另相對於固定床式之流動床吸附設備則以球(珠)狀式活性碳為吸附材;而以纖維狀活性碳吸附設備則有改良活性碳粒操作特性而生。
表 1. 各式吸附材應用於吸附設備之特性比較
|
裝置
項目
|
固定床式吸附設備 |
流動床式
吸附設備 |
| 顆粒狀式 |
活性碳纖維 |
| 吸附材 |
粒狀活性碳 |
纖維狀活性碳 |
球狀活性碳 |
| 吸附方式 |
填充層 |
圓筒形單體 |
空中浮游式 |
| 脫附媒體 |
蒸氣(大量) |
蒸氣(中量) |
氮氣(少量) |
| 脫附溫度 |
120~130℃ |
100~110℃ |
150~160℃ |
| 吸脫附循環時間 |
60~120min |
10~15 min |
30~60 min |
| 處理效率 |
97%以上 |
99%以上 |
95%以下 |
回收品中酸份
(分解物) |
10 ppm 以上 |
1 ppm 以下 |
10 ppm 以上 |
分離水量
(kg水/kg 溶劑) |
1~7 |
1~5 |
(原廢氣中濕分凝結)
0~0.2 |
| 操作難易性 |
易 |
易 |
較難※ |
- ※:流動床式易受到溶劑種類濃度、溫度、壓力條件等影響而需較佳技術操作
- 資料來源:經濟部工業局,VOC 控制技術講習會。
(二)沸石轉輪
沸石轉輪系統如圖5.所示,轉輪分為吸附區、脫附(再生)區及冷卻區等3個操作區間,轉輪表面有3/4為廢氣處理用途,其餘1/4為冷卻及脫附用途。製程廢氣經前處理過濾微粒後進入轉輪之吸附區,VOCs吸附後成為乾淨氣體排放。當轉輪表面吸附劑至接近飽和時,即旋轉至脫附區,以高溫(約180~220℃)之空氣流,將吸附VOCs進行脫附,形成一般高濃度之廢氣流。
此股廢氣流再送入一次熱交換器,利用焚化之廢熱回收預熱後,再送入燃燒室焚化。經脫附再生處理後之轉輪再旋轉至冷卻區降溫後,繼續進行吸附處理,系統完全以連續操作不需停機再生。此外,利用燃燒之廢熱進行二次回收,即為再生轉輪用脫附氣體之熱源,以節省燃料操作費用。
2.吸附濃縮轉輪特性
- 蜂巢狀沸石具很大內表面之孔穴,可吸附大量VOCs分子(即吸附量大)。
- 吸附劑具離子性,孔徑大小較整齊均一,可依分子大小與極性之不同進行選擇性吸附。
- 對某些極性分子於較高溫度、低分壓下,仍能保持很強之吸附能力。
- 可處理高相對濕度之廢氣,而不會降低其處理效率。
- 疏水性沸石不可燃,可耐溫至1,000℃,惰性、無機物、不具催化效果。
3.影響性能主要因素
影響沸石濃縮轉輪性能之主要因素包括轉輪轉速、濃縮倍率、脫附溫度、廢氣VOCs成份、廢氣VOCs濃度及廢氣之溫/濕度等,其設計及操作之考量重點如表2.所示。
表2 沸石濃縮轉輪性能之影響因素及其設計操作考量
| 性能影響因素 |
設計及操作考量重點 |
| 轉輪轉速 |
- 過快將使脫附區無法有充裕時間進行脫附,導致VOCs無法完全脫附,造成轉輪快速飽和,無法繼續處理後續進入之廢氣。
- 過慢則可能因停留於吸附區的時間過長,使轉輪在吸附區提前飽和,造成去除效率降低。
- 轉速一般為2~6轉/hr,惟須依賴實際廢氣之狀況及欲達到的 VOCs 處理效率作適當的調整,方能達到理想操作。
|
| 濃縮倍率(濃縮比) |
- 濃縮倍率為輪吸附區與脫附區之風量比,若其值降低表示進入吸附區的風量減少,進入脫附區的風量增加。
- 降低濃縮倍率可以增加轉輪處理效率,但脫附風量大表示進入焚化爐的處理風量亦隨之變大,將增加焚化爐燃料耗用量。
- 脫附風量若大於焚化爐的設計處理風量,亦會造成系統處理效率降低。
- 典型濃縮比應用範圍介於 10~20,惟為顧及效率與能源能同時達到最佳狀況,須視實際狀況隨時調整濃縮倍率。
|
| 脫附溫度 (進入轉輪脫附區之氣流溫度) |
- 若脫附溫度不足,則脫附區無法得到充分的熱能,吸附於轉輪內之 VOCs 無法完全脫附排出,吸附位置被佔據,造成處理效率降低。
- 若脫附溫度增加,可使脫附區得到充分的熱能,將吸附於轉輪內之VOCs完全脫附,增加處理效率。
- 但過高將使得轉輪轉體深層之殘餘熱過多,而無法於冷卻區有效降 溫,將不利於下一階段的吸附程序,造成整體處理效率下降。
|
| 廢氣VOCs成份 |
- 因沸石轉輪之構造為陶瓷基材加吸附劑,不同吸附劑之效果會隨 VOCs 成份而異,故在選購沸石轉輪前,須先分析物種特性。
- 在變更製程條件時,亦須事先評估不同的排放氣體對吸附效果的影 響,避免影響處理效率。
|
| 廢氣VOCs濃度 |
- 在同一轉速之下,廢氣進口濃度不同,轉輪的處理效率亦有差異。例:高濃度廢氣因污染量較多,將使吸附區提前飽和,造成處理效率降低,此時可調整加快轉輪轉速。
- 惟轉速亦不宜過快,以免造成脫附區之處理時間不足,讓轉輪無法有 充足之吸附位置處理下一階段之吸附程序。
|
表2 沸石濃縮轉輪性能之影響因素及其設計操作考量(續)
| 性能影響因素 |
設計及操作考量重點 |
| 表廢氣之溫/濕度 |
- 因吸附屬放熱反應,廢氣進流溫度高者不利轉輪吸附,故處理效率隨廢 氣溫度之升高而降低;即廢氣溫度若超過40℃,必須先進行冷卻。
- 理論上若廢氣溫度降低有助於沸石吸附作用,惟因溫度降低而引起進氣 流的濕度相對增加,而產生過多之水分子將凝結於轉輪上,與VOCS產生競爭性吸附,使得處理效率降低。
- 疏水性沸石濃縮轉輪系統對於80%以下之相對濕度狀況,其處理效率受影響不大;但廢氣中宜先去除水滴,或可在風車前安裝除霧器去除。
|
資料來源:經濟部工業局,揮發性有機物廢氣減量及處理技術手冊。
較常用之轉輪直徑從可處理10,000m3/hr風量的1,500至可處理 50,000~60,000m3/hr風量的3,500mm。在同一套設備中可並聯使用兩個 3,500mm的轉輪,使處理風量增加可達120,000m3/hr。同一廢氣處理風量下,大尺寸之轉輪較不經濟,例:一座5,000mm的轉輪與二座3,500mm的轉輪相較,其所能處理的廢氣量相同,但前者之建造成本增加約10%,且需現場組裝而機械效果亦較差。
當污染源之廢氣風量小於約115m3/min 時,採用沸石濃縮轉輪焚化爐所節省之燃料及電力費用,與直接焚化爐相較之差距不大,此時採用沸石濃縮轉輪系統之初設成本較高,亦較不符經濟效益。
一般而言當廢氣VOCs濃度超過1,000ppmv時,沸石濃縮轉輪焚化爐可能將不比蓄熱式焚化爐節省操作費用。
常溫處理技術實廠規劃
經前段分析後,吸脫附法,其中因沸石轉輪已廣泛運用於電子廠、以流體化床吸/脫附法及冷凝法兩種方法具推廣價值,故本年度積極蒐集前述兩種方法之成功案例,並規劃透過試驗建立操作建議報告,做為未來業者選擇之參考。茲就活性碳流體化床濃縮技術說明如下:
一、文獻蒐集
顆粒型活性碳技術持續進化,2020年工業與工程化學期刊(Journal of Industrial and Engineering Chemistry)發表以流化床研究球形活性碳吸附劑流化和自旋轉如何影響VOCs吸附能力。使用在其表面塗有標記的球形活性碳作為追蹤粒子,其運動過程由高速相機在不同工作條件獲取。測量了顆粒量、入口氣體速度和芯柱結構對活性碳顆粒運動的影響 。以活性碳對甲苯吸附能力進行實驗研究,了解活性碳顆粒的運動特性和吸附效率之間的關係。設計之模廠及顆粒在煙道中流動情形如圖3-1及3-2 所示。
圖3-1 活性碳顆粒在管道中流體化並吸附污染物
圖3-2 高速攝影機拍攝球性活性碳顆粒流體化情形
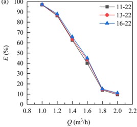
研究中採用高速攝影機拍攝球性活性碳顆粒在25 mm流化床中的流化和自轉,測試球型活性碳顆粒移動過程對甲苯吸附效率的影響。結果顯示當進氣口氣流速率大於0.2m3/h時,流化床進氣口側的顆粒開始向上移動。當球型活性碳以流化床與顆粒堆疊兩者高度的相對堆疊高度增加到0.57時,顆粒開始大量的進行流化運動,如圖3-3。另外,增加氣體流速和芯柱直徑和高度會增加總顆粒的自轉速度。當進氣口流速為1.0 m3/h,相對堆疊高度為0.65時,最大吸附效率達到99%,實驗結果如圖3-4及3-5所示。
研究中使用球型活性碳吸附劑的新型流化床VOCs吸附技術,結果可知此技術對VOCs具有良好去除效果。氣體流速對顆粒流化影響最大,流速必須高於0.2 m3/h才能有良好的流化效率。另外,進氣流速增加時,吸附劑自轉速度同時提高,進而促進氣體與顆粒間反應作用。最後,影響吸附效率主要因子為氣流及吸附劑顆粒接觸滯留時間
圖3-3 不同風速活性碳顆粒流體化結果
圖3-4 不同風速吸附結果率
圖3-5 堆疊高度與去除效率